Home
Favorites
My Account
Menu
Common Core Sheets
Математика
Орфография
создать обзор
создать тест
создать лист
улучшение абзаца
авторизоваться
x
Панель учителя
>
My Account
Distance Learning Assignments
ru
Настройки
Математика
>
Сложение
Вычитание
Умножение
Деление
Алгебра
Углы
Площадь и Периметр
Ящики с Усами
Меры Объема
Преобразование Форм
Счет
Десятичные Дроби
Деление
Математическая Практика
Фактические Множества
Множители
Дроби
Сетки Координат
Линейные Графики с Участками
Единица Измерения
Деньги
Умножение
Многоступенчатые задачи
Отрицательные числа
Порядок Действий
Числовые ряды и станки
Проценты
Пиктограммы
Круговые Диаграммы
Вероятность
Законы вычисления
Пропорции
Округление
Фигуры
Статистика
Вычитание
Счет
Температура
Время
Разряд и Вес Разряда
Переменные
Вес
Объем
Математическая Практика
Панель учителя
>
My Account
Distance Learning Assignments
ru
Настройки
Языки
>
spanish
german
russian
italian
vietnamese
french
english
и поддержать сайт
>
Patreon
Paypal
Другое
>
Связаться и прокомментировать
Как использовать рабочие листы
Связаться и прокомментировать
Home
Рабочие листы по математике
Рабочие Листы с Отрицательными Числами
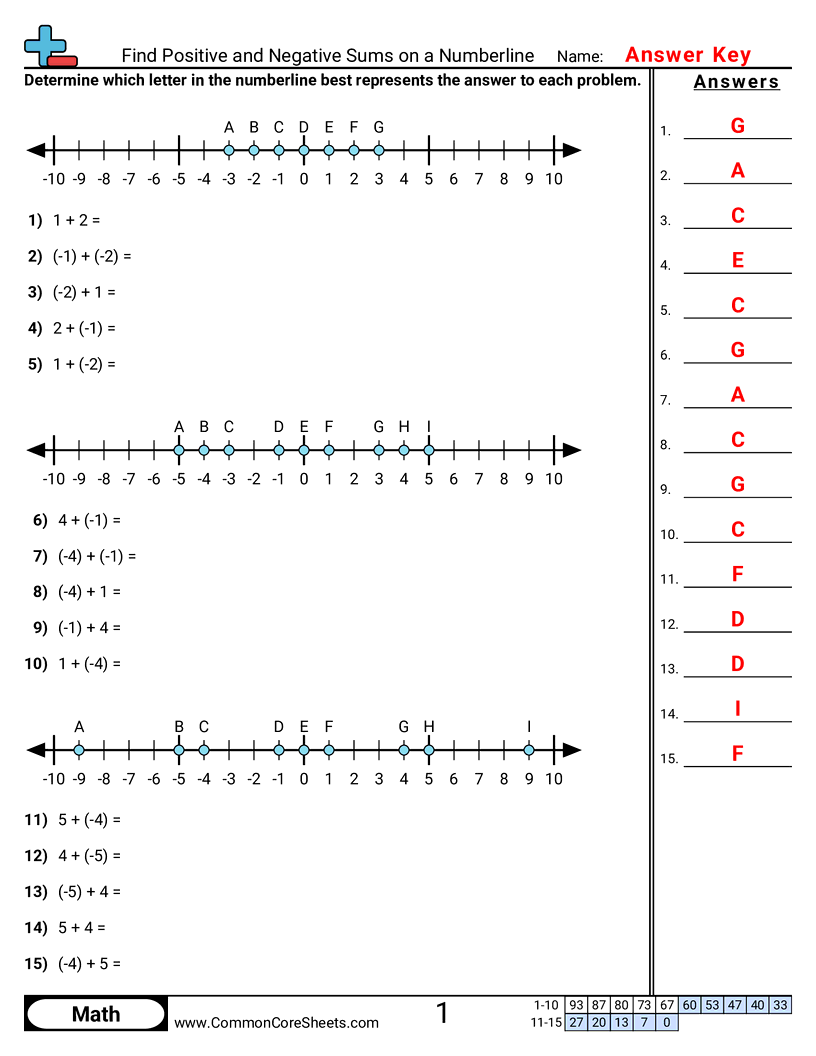
Показ расстояния на числовой линии
Like
Playwire Рекламное объявление
Показ расстояния на числовой линии
Worksheet
По одному за раз
Флэш-карты
Дистанционное обучение
Создать новый лист
Tags
короткое предложение
визуальный
числовая прямая
сложение
Standards
7ns1b
Related Worksheets
Playwire Рекламное объявление